top of page
Esta página web se diseñó con la plataforma
.com
. Crea tu página web hoy.
Comienza ya
PFM
Ambiental
Inicio
Ambiental
Contextualización del Problema
1ra Etapa
2da Etapa
3ra Etapa
Actividad Autonoma
Capitulos
Límites y Continuidad
Cálculo Diferencial
Cálculo Integral
Coordenadas Polares
Contactenos
More
Use tab to navigate through the menu items.
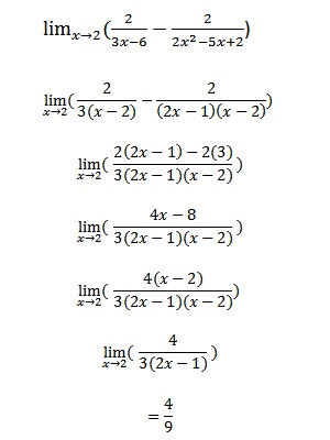
Cálculo de Limites: Forma Indeterminada ∞-∞
1.4.1
1.4.2
1.4.1
1/2
Video de Resolución de Ejercicios
Límites y Continuidad
bottom of page